Thứ Hai, 6 tháng 6, 2016

Đề thi thử Đại học môn Toán năm 2016 trường THPT Thanh Hà

Đề thi thử Đại học môn Toán năm 2016 trường THPT Thanh Hà – Đề thi thử THPT Quốc gia môn Toán năm 2016 trường THPT Thanh Hà, Hải Dương (Lần 3) được dethithuvn.com sưu tầm và đăng tải, là đề luyện thi THPT Quốc gia, ôn thi Đại học môn Toán hữu ích dành cho các bạn thí sinh. Đề thi có 10 câu hỏi cùng đáp án đi kèm, giúp các bạn kiểm tra lại bài làm của mình một cách hiệu quả.


Đề thi thử Đại học môn Toán năm 2016 trường THPT Thanh Hà


Câu 1 (1,0 điểm): Khảo sát sự biến thiên và vẽ đồ thị hàm số Đề thi thử THPT Quốc gia môn Toán năm 2016 trường THPT Thanh Hà, Hải Dương (Lần 3).


Câu 2 (1,0 điểm): Tìm giá trị lớn nhất, giá trị nhỏ nhất của hàm số y = e2x(2x + 3) trên đoạn [-3; 0].


Câu 3 (1,0 điểm):


a) Cho sinα = 3/5 với π/2 < α < π. Tính giá trị biểu thức: Đề thi thử THPT Quốc gia môn Toán năm 2016 trường THPT Thanh Hà, Hải Dương (Lần 3).


b) Giải phương trình: Đề thi thử THPT Quốc gia môn Toán năm 2016 trường THPT Thanh Hà, Hải Dương (Lần 3).


Câu 4 (1,0 điểm):


a) Gọi z1, z2 là các nghiệm phức của phương trình z2 – 2z + 5 = 0. Tính độ dài đoạn AB, biết A, B lần lượt là các điểm biểu diễn số phức z1, z2.


b) Cho phép khai triển Đề thi thử THPT Quốc gia môn Toán năm 2016 trường THPT Thanh Hà, Hải Dương (Lần 3) thành biểu thức ẩn x. Tìm số hạng không chứa x.


Câu 5 (1,0 điểm): Tính diện tích hình phẳng (H) giới hạn bởi các đường: y = 2xex, y = 0, x = 2.


Câu 6 (1,0 điểm): Cho lăng trụ tam giác đều ABC.A’B’C’ có góc giữa BC’ và mặt phẳng (ABB’A’) là 30o, cạnh đáy là a√3. Tính thể tích khối lăng trụ ABC.A’B’C’ và khoảng cách giữa hai đường BC’ và AC.


Câu 7 (1,0 điểm): Trong không gian với hệ tọa độ Oxyz cho điểm A(1;-1;3) và đường thẳng d có phương trình Đề thi thử THPT Quốc gia môn Toán năm 2016 trường THPT Thanh Hà, Hải Dương (Lần 3). Viết phương trình mặt phẳng (P) qua A và vuông góc với d. Tìm tọa độ điểm M thuộc d sao cho AM = 2√6.


Câu 8 (1,0 điểm): Trong mặt phẳng với hệ tọa độ Oxy cho tam giác ABC nội tiếp đường tròn (C) có phương trình: x2 + y2 + 2x – 4 y – 20 = 0. Đường cao kẻ từ đỉnh A của tam giác ABC cắt (C) tại E(3;-1) khác A. Điểm G(5/3; 5/3) là trọng tâm tam giác ABC. Tìm tọa độ các đỉnh của tam giác ABC biết đỉnh B có hoành độ lớn hơn 3.


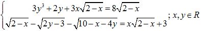
Câu 9 (1,0 điểm): Giải hệ phương trình: Đề thi thử THPT Quốc gia môn Toán năm 2016 trường THPT Thanh Hà, Hải Dương (Lần 3)


Câu 10 (1,0 điểm): Cho a, b, c là các số thực dương thỏa mãn: a3 + b3 + c3 = 3.


Chứng minh Đề thi thử THPT Quốc gia môn Toán năm 2016 trường THPT Thanh Hà, Hải Dương (Lần 3)


Đề thi thử Đại học môn Toán năm 2016 trường THPT Thanh Hà




Đề thi thử Đại học môn Toán năm 2016 trường THPT Thanh Hà

Không có nhận xét nào:

Đăng nhận xét